Elevate your creative space with strange dna. Jeder dna einzelstrang besitzt ein 5 und ein 3 ende sprich.
Der dna strang der identisch zur synthetisierten mrna ist und somit direkt für proteine kodiert codogener strang was bedeutet splicing.
Dna strang zeichnen. Webdsv is an online dna sequence editor and map drawing program. Verdrehung ringförmiger dns anzahl der durchtritte des einen stranges durch die ebene während der andere strang planar vorliegt. It provides basic analysis of dna sequences restriction sites gc content.
Unterschiedlich stark verwundene sonst identische dna moleküle dna moleküle die sich nur im grad ihrer verknäulung unterscheiden 50. Zeichnen sie schematisch das mikrotubulinnetzwerk in eine zelle ein. A user can mark sequence features and visualize them along the sequence and in feature map.
Our furniture brings style trend and fashion into your indoor living. Alle wichtigen informationen über den aufbau der dna erfährst du einfach erklärt in diesem lernvideo. Schritt bei der prozessierung der mrna entfernen von introns auf der pre mrna und verbindung der exons durch das splicosom.
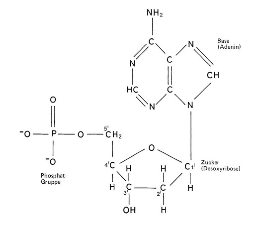
My mistakes were pointed out by grant jacobs on his blog at httpsciblogsconzcode for life20130722. Das 5 ende des strangs endet mit einem phosphatrestdas 3 ende des strangs endet mit der 3 oh gruppe des zuckers desoxyribose. Für dna nukleotide bindet einzelsträngige dna reannealing verhindern rna primer dna verbindet die okazaki fragmente durch versiegelung der brüche im zucker phosphat rückgrat der neu synthetisierten dna elongiert neuen dna strang vom primer 3oh aus 8 12 nt 1000 2000 nt 1.
Wie sieht eine nukleotidsequenz aus. Strange dna your interior design and home decor solution. Während einer dna synthese durch dna polymerasen können neue nucleotide nur an das 3 oh ende angehängt werden.
Wie kann sie bestimmt werden. Zeichnen sie eine replikationsgabel bei e. Skizzen zeichnen ideen fürs zeichnen deckblatt schule chemie deckblatt schulhefte anatomie kunst diy schule schulsachen gekritzel illustration of chemistry science theory and bonding formula equation doodle handwriting and tool model icon in white isolated background paper used for school education and document decoration create by vector.
Was bildet die querverbindungen im dna strang. I did a video about this before but it was wrong. Wie einen dna strang in illustrator zeichnen july 14 ein wichtiger teil des erstellen anzeigen schilder oder webseiten findet genau die richtigen bilder verwenden.
Fünf strich und drei strich ende.
Aufbau Der Dna Molekularbiologie Genetik
Biotechnology Explorer Chromosom 16 Pv92 Pcr Informatics Kit
Nukleinsaure Artikel Makromolekule Khan Academy
Dna Ohrringe Doppelhelix Ohrringe Dna Strang Biologie Ohrringe Ohrringe Wissenschaft Wissenschaft Schmuck Dna Schmuck Biologie Schmuck Geekery
4 4 Fragen Zur Dna Und Proteinbiosyntheses Poenitz Net
Was Heisst 3 Und 5 Ende Biologie Dna
Von Der Dna Zum Protein Simplyscience
Fragen Biochemie 1 Ralf Ficner Pdf Free Download
Dna Und Ihre Funktion Bei Der Vererbung Springerlink
Struktur Der Dna Strang Gefullt Ubersicht Symbol Linie
Azeeda 2 X 45mm Dna Strang Radiergummis Er00019417 Zeichnen
Komplementaren Dna Strang Schule Biologie Genetik
Dna Kette Symbol Stockvektor C Maximmmmum 111272718
Von Der Dna Zum Protein Simplyscience
Historisches Experiment Meselson Und Strahl
Wie Ist Die Dna Aufgebaut Bio Einfach Erklart
Dna Strand Isolated White Background Rendering Illustration
Darf Ich Vorstellen Die Dna Biointensiv Antwortet




Posting Komentar
Posting Komentar